Recommendations for Oxytetracycline Injections
Recommendations for Oxytetracycline Injections
Photo by Gabriel Pugina Three University of Florida Institute of Food and Agricultural Sciences (UF/IFAS) researchers recently issued the document Suggested Use Pattern of Injectable Antimicrobials for Huanglongbing (HLB) Management. The authors are Ute Albrecht, associate professor of horticulture; Ozgur Batuman, associate professor of plant pathology; and Megan Dewdney, associate professor of plant pathology. The antimicrobials for Florida citrus are ReMedium TI and Rectify; both contain oxytetracycline. Some document highlights follow. APPLICATION TIMING Only one application per year is allowed for bearing trees, but non-bearing trees can be injected twice annually with a four-month interval. The most desirable timings of injection for various citrus varieties are: Early-season varieties such as Hamlin, Navel and Fallglo: March, April and May. June is a less desirable injection time. Mid-season varieties such as Murcott, Pineapple and Midsweet: March, April, May and June. July is a less desirable injection time. Late-season varieties such as Valencia: March, April, May, June and July. August is a less desirable injection time. Grapefruit such as Ray Ruby, Flame and Ruby Red: March, April and May. June is a less desirable injection time. APPLICATION GUIDELINES Do not apply during bloom. Do not apply during leaf flushing. Apply when leaves are fully expanded for efficient uptake and distribution. Trees should be well watered before and at the time of application. Do not apply during drought conditions. Leaf yellowing (phytotoxicity) may occur on the side of injection. Only inject once the product is fully dissolved. Only use freshly prepared solution. INJECTION SITES Do not re-use injection sites. The rootstock is the recommended location for injection, but scion injections are also effective. Subsequent injections should be above or below the initial site by 2 inches and on the opposite side, or to the right or left by 2 to 3 inches. Do not use any post-wounding treatments as these may interfere with wound healing. OTHER CONSIDERATIONS Injection into the trunk can cause significant damage to the tree. Trees with a trunk diameter of less than 2.5 inches are prone to more damage. Minimizing the hole size by using a smaller injector tip will minimize tree damage. The document also contains information about pre-harvest and re-entry intervals, maximum amount of product per tree per year, dose per tree by trunk diameter, and personal protective equipment. Source: UF/IFAS |
Photo by Gabriel Pugina
Get the Jetpack app Subscribe, bookmark, and get real‑time notifications – all from one app! 
Figure 1. Multiple sizes of B. bonariensis were collected from citrus on April 27, 2023.
Figure 1. A: Open IPCs (top) and zip-tied IPCs (bottom) in commercial groves. B: Vapor pressure deficit (VPD) under open-bottom IPCs (blue) and zip-tied IPCs (red). Note the significantly higher VPD under open-bottom conditions.
A: Untreated control tree after 24 months of exposure to psyllid infection
Citrus canker lesions appear on both the upper and lower surfaces of leaves.
Postbloom fruit drop symptoms include petal lesions and shriveled petals.
Figure 1. Harvest data shows that frequent irrigation with the same amount of total water significantly improved yield.
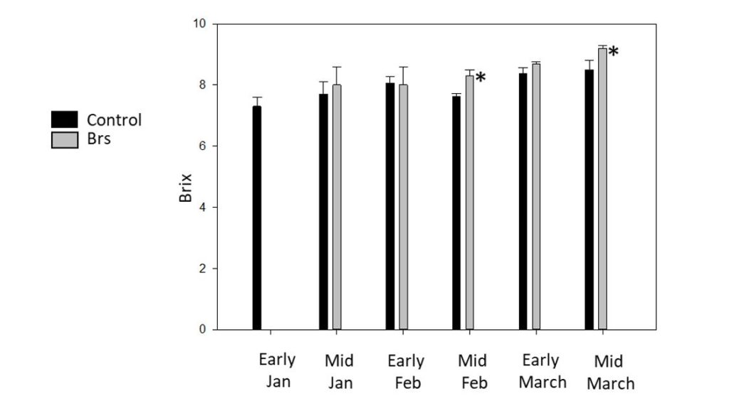
Changes in Brix in juice of Valencia sweet orange two weeks after each treatment with brassinosteroids. The goal is to increase Brix and the sugar-to-acid ratio in the juice. The approach for the past two seasons has been to treat independent plots of mature fruit-bearing Valencia trees with the dosage mentioned above. Every independent plot receives only one treatment, and treatments are performed two weeks apart in each independent plot from early January to mid-March (in other words, from the time the fruit starts to slightly change color). Then, the change in Brix and titratable acidity is measured two weeks after every treatment, in order to determine the sugar-to-acid ratio at each date.