A corrente do Golfo

ImageA corrente do golfo é uma corrente marinha que desloca água quente do Golfo do México até a Europa contribuindo para um clima mais suave. Foi descoberta em 1513 pelo navegador Ponce de Leon que percebeu uma corrente que levava seus navios, mas somente em 1777 que Benjamin Franklin estudou sobre a corrente.
É formada pelos ventos alísios que empurram água do Atlântico de leste para oeste em 15º de latitude norte. É uma corrente bem profunda sendo uma das mais fortes transportando 1,4 Petawatts de potência, suficiente para elevar a temperatura de certas regiões.
A corrente do Golfo pode desaparecer devido ao efeito estufa que faz com que as geleiras derretam aumentando a quantidade de água no Atlântico norte. Tais fatores aumentam a quantidade de água doce e produzem um resfriamento geral aumentando a diferença na quantidade de sal entre o Equador e a Noruega fazendo o corrente parar.
Se acontecer tal fato, as costas européias seriam as primeiras vítimas do aquecimento global, pois, ele faz com que a maior parte das geleiras derreta e isso resfriaria todo o noroeste da Europa.

Fonte:Brasil escola

Deixe um comentário

Arquivado em Geografia

DINÂMICA

Quando se fala em dinâmica de corpos, a imagem que vem à cabeça é a clássica e mitológica de Isaac Newton, lendo seu livro sob uma macieira. Repentinamente, uma maçã cai sobre a sua cabeça. Segundo consta, este foi o primeiro passo para o entendimento da gravidade, que atraia a maçã.

Com o entendimento da gravidade, vieram o entendimento de Força, e as três Leis de Newton.

Na cinemática, estuda-se o movimento sem compreender sua causa. Na dinâmica, estudamos a relação entre a força e movimento.

Força: É uma interação entre dois corpos.

O conceito de força é algo intuitivo, mas para compreendê-lo, pode-se basear em efeitos causados por ela, como:

Aceleração: faz com que o corpo altere a sua velocidade, quando uma força é aplicada.

Deformação: faz com que o corpo mude seu formato, quando sofre a ação de uma força.

Força Resultante: É a força que produz o mesmo efeito que todas as outras aplicadas a um corpo.

Dadas várias forças aplicadas a um corpo qualquer:

Image

A força resultante será igual a soma vetorial de todas as forças aplicadas:

Image

Leis de Newton

As leis de Newton constituem os três pilares fundamentais do que chamamos Mecânica Clássica, que justamente por isso também é conhecida por Mecânica Newtoniana.

1ª Lei de Newton – Princípio da Inércia

  • Quando estamos dentro de um carro, e este contorna uma curva, nosso corpo tende a permanecer com a mesma velocidade vetorial a que estava submetido antes da curva, isto dá a impressão que se está sendo “jogado” para o lado contrário à curva. Isso porque a velocidade vetorial é tangente a trajetória.
  • Quando estamos em um carro em movimento e este freia repentinamente, nos sentimos como se fôssemos atirados para frente, pois nosso corpo tende a continuar em movimento.

estes e vários outros efeitos semelhantes são explicados pelo princípio da inércia, cujo enunciado é:

“Um corpo em repouso tende a permanecer em repouso, e um corpo em movimento tende a permanecer em movimento.”

Então, conclui-se que um corpo só altera seu estado de inércia, se alguém, ou alguma coisa aplicar nele uma força resultante diferente se zero.

2ª Lei de Newton – Princípio Fundamental da Dinâmica

Quando aplicamos uma mesma força em dois corpos de massas diferentes observamos que elas não produzem aceleração igual.

A 2ª lei de Newton diz que a Força é sempre diretamente proporcional ao produto da aceleração de um corpo pela sua massa, ou seja:

Image

ou em módulo: F=ma

Onde:

F é a resultante de todas as forças que agem sobre o corpo (em N);

m é a massa do corpo a qual as forças atuam (em kg);

a é a aceleração adquirida (em m/s²).

A unidade de força, no sistema internacional, é o N (Newton), que equivale a kg m/s² (quilograma metro por segundo ao quadrado).

Exemplo:

Quando um força de 12N é aplicada em um corpo de 2kg, qual é a aceleração adquirida por ele?

F=ma

12=2a

a=6m/s²

Força de Tração

Dado um sistema onde um corpo é puxado por um fio ideal, ou seja, que seja inextensível, flexível e tem massa desprezível.

Image

Podemos considerar que a força é aplicada no fio, que por sua vez, aplica uma força no corpo, a qual chamamos Força de Tração Image.

Image

3ª Lei de Newton – Princípio da Ação e Reação

Quando uma pessoa empurra um caixa com um força F, podemos dizer que esta é uma força de ação. mas conforme a 3ª lei de Newton, sempre que isso ocorre, há uma outra força com módulo e direção iguais, e sentido oposto a força de ação, esta é chamada força de reação.

Esta é o princípio da ação e reação, cujo enunciado é:

“As forças atuam sempre em pares, para toda força de ação, existe uma força de reação.”

Deixe um comentário

Arquivado em Física

Gravitação universal e as Leis de Kepler

Logo o homem pode observar o céu já houveram estudos sobre o que poderia estar acontecendo ali. Os primeiros estudos científicos do universo, foi feito por filósofos da Grécia Antiga, são daí as primeiras descrições dos sistemas planetários. Ptolomeu (100 – 170) propõe em sua famosa obra Almagesto, um sistema planetário geocêntrico.

O astrólogo polonês Nicolau Copérnico (1473-1543), em sua obra Sobre a revolução dos corpos celestes, publicadaum ano após sua morte descreve um sistema que tem o Sol como o centro, dito heliocêntrico.

Coube ao discípulo de Tycho Brahe (1546-1601) Johannes Kepler (1571-1630) que era contemporâneo de Galileu Galilei (1564-1642) descrever com bastante precisão os movimentos dos corpos celestes.

As Leis de Kepler. (Todas consideram o Sol como referencial).

Primeira Lei de Kepler (ou Lei das Órbitas)

“Os planetas descrevem órbitas elípticas ao redor do Sol, sendo que este ocupa um dos focos da elipce.”

Image

Segunda Lei de Kepler (ou lei das Áreas)

“O segmento imaginário que une o centro do Sol e o centro do planeta varre áreas proporcionais aos intervalos de tempo dos percursos.”

Image

Terceira Lei de Kepler (ou Lei dos Períodos)

“ O quadrado do período de revolução de cada planeta é proporcional ao cubo do raio médio da respectiva órbita.”,

T2 = Kr3

Sendo que K depende diretamente, e apenas da massa do Sol.

Lei da Gravitação Universal

Corpos atarem-se com forças que são diretamente proporcional à sua massa e inversamente proporcional ao quadrado de suas distâncias.

Image, G a constante de atração gravitacional 6,67 x 10-11

ImageFonte:Info escola

Deixe um comentário

Arquivado em Física

Os Gêneros Literários

As obras literárias, conforme seu conteúdo e estrutura, apresentam predominantemente características de um dos gêneros literários fundamentais: épico, dramático e lírico.

O gênero épico, grosso modo, caracteriza-se pela narrativa (quando uma “estória” é contada) em verso ou prosa. Por exemplo: epopéia, mito, lenda, romance, novela e conto. Expressa o modo temporal ou sucessivo, trata-se de um discurso contínuo. O tempo é o fator estrutural mais importante do gênero épico.

O gênero dramático, grosso modo, caracteriza-se pelos diálogos; é planejado para ser encenado num palco por meio de gestos e discursos dos atores. Por exemplo: tragédia, comédia, farsa e tragicomédia. Embora apresente uma ação metaforicamente colocada no passado, a reproduz no presente pelo desempenho dos atores nos palco.

Quanto ao gênero lírico, trataremos mais detalhadamente depois dessas considerações gerais sobre os gêneros.

A questão dos gêneros literários está em discussão faz séculos. É uma das mais importantes questões em Teoria Literária.

Muitos autores, Aristóteles por exemplo, expuseram regras que definem os gêneros literários. E muitos escritores durante séculos seguiram essas regras de modo que as encontramos exemplificadas em suas obras.

René Wellek e Austin Warren afirmam, em sua obra Teoria da Literatura,que “a espécie literária é uma ‘instituição’ – tal como a Igreja, a Universidade, o Estado, são instituições. Existe, não no sentido em que se diz que existe um animal ou mesmo um edifício, seja capela, biblioteca ou assembléia, mas sim naquele em que uma instituição tem existência. Uma pessoa pode actuar, expressar-se, por meio das instituições que existem, ou criando novas instituições, ou prosseguindo, tanto quanto possível, sem comparticipar na política ou nos rituais; podemos também aderir a instituições e depois dar-lhes nova forma. A teoria dos gêneros é um princípio ordenador: classifica a literatura e a história literária não em função da época ou do lugar (por épocas ou línguas nacionais), mas sim de tipos especificamente literários de organização ou estrutura.”[1]

Isto distingue entre uma modalidade física, individual, de existência, e uma modalidade não–física, ou “institucional”, catalogando os gêneros literários na modalidade institucional.

Mas de onde provêm os gêneros literários? Massaud Moisés diz que “os gêneros literários nascem por uma espécie de imposição natural, qualquer coisa como a adequação do indivíduo ao ritmo cósmico, marcado por uma regularidade inalterável… Por outro lado, a reiteração dum módulo expressivo e, correspondentemente, dum modo de conteúdo (o que significa, de resto, uma específica visão do mundo) obedece a uma tendência inata do homem para a ordem.”[2] Concordemente, Emil Staiger diz que “os conceitos lírico, épico e dramático são têrmos da Ciência da Literatura para as virtualidades fundamentais da existência humana.”[3]

Assim entendemos que os gêneros literários são esquemas de possibilidades de organização literária que existem antes e independentemente das obras literárias. Enquanto possibilidades são esquemas puros. Nas obras encontramos a predominância de um com traços de outros.

Aprofundando um pouco mais sobre a predominância e os traços, Anatol Rosenfeld em sua obra O Teatro Épico, explica que quando nos referimos aos gêneros do ponto de vista ideal, como categorias literárias, associamos o gênero lírico ao substantivo “A Lírica”; o épico, “À Épica”; e o dramático, “À Dramática”. Mas ao analisarmos as obras individuais que a história registra, e que o teórico pode agrupar por suas semelhanças e diferenças, notamos que elas não se encaixam perfeitamente num determinado gênero. Por isso, ainda conforme Rosenfeld, a importância dos significados adjetivos dos gêneros.

Por exemplo: “certas peças de Garcia Lorca, pertencentes, como peças, à Dramática, têm cunho acentuadamente lírico (traço estilístico). Poderíamos falar, no caso, de um drama (substantivo) lírico (adjetivo). Um epigrama, embora pertença à Lírica, raramente é “lírico” (traço estilístico), tendo geralmente certo cunho “dramático” ou “épico” (traço estilístico). Há numerosas narrativas como tais classificadas na Épica, que apresentam forte caráter lírico (particularmente da fase romântica) e outras fases de forte caráter dramático (por exemplo as novelas de Kleist).”[4]

Podemos dizer que os gêneros são as diferenças extremas das possibilidades de estruturação literária que, apesar de suas diferenças, é possível combiná-los formando tecidos mistos. Entretanto, mesmo na mais criativa mistura, as categorias sempre permanecerão como princípios articuladores e elementos mínimos de que se compõe a mistura. Os gêneros literários são realidades arquetípicas que ordenam a multiplicidade dos fatos da história literária.

As Características Fundamentais do Gênero Lírico

O gênero lírico não configura nitidamente personagens, caracteriza-se pela predominância de uma voz central, um “eu” lírico (que não é um “eu” individual) que se funde com o mundo e exprime a plasmação imediata de seus próprios estados de alma, emoções, disposições psíquicas, concepções, reflexões, visões, sentimentos, intensamente vividos e experimentados através de um discurso breve, conciso, denso e extremamente expressivo, construído com ritmo, musicalidade e imagens como o canto, a ode e a elegia.

No que se refere ao tempo o gênero lírico ultrapassa a temporalidade, porque se estrutura segundo a aspiração da eternidade, e seu modo formal é o conceito de “momento”, cujo equivalente espacial é o “ponto”. A lírica destaca um momento do tempo, um ponto do espaço, e os projeta no não–tempo e no não–espaço. Mas para fazê-lo recorre a instrumentos verbais derivados do espaço e do tempo, que marcam os limites do humanamente expressável e a mútua anulação do espaço e do tempo ao cruzar-se no “ponto” ou “momento”. A lírica é a expressão mais pura da relação da dimensão que articula, abrange e contém o espaço e o tempo cristalizando numa obra a experiência universal.

Rosenfeld apresenta a primeira estrofe do soneto número IV dos Quatro Sonetos de Meditação de Vinícius de Morais, por tratar-se de um verso acentuadamente lírico onde encontramos as características fundamentais da Lírica:[5]

Apavorado acordo, em treva. O luar
É como o espectro do meu sonho em mim
E sem destino, e louco, sou o mar
Patético, sonâmbulo e sem fim.

(Vinícius de Morais, Livro de Sonetos)

Aqui vemos o “eu” lírico cantando a experiência angustiante da solidão. A fusão do “eu” com o mundo (sujeito e objeto) é percebida no terceiro verso “(…) sou o mar”. No quarto verso essa característica também é percebida porque as qualidades de um e de outro se misturam: “Patético, sonâmbulo e sem fim”, já não sabemos mais onde acaba o sujeito e começa a paisagem. “O universo se torna expressão de um estado interior”. Perceba o caráter imediato que se manifesta no tempo verbal (presente) que caracteriza um momento eterno que permanece.

Conclusão

Os gêneros literários são, como dissemos, realidades arquetípicas que enquadram e orientam a multiplicidade dos fatos da história literária, sem jamais manifestar-se em toda a sua íntegra pureza — pois a temporalidade imita a perenidade, sem poder identificar-se com ela — e também sem nunca desaparecer totalmente de cena, por mais irreconhecíveis que os torne a multidão dos fatos e variações particulares. A dificuldade que o homem moderno contemporâneo sente em compreender os gêneros e reconhecê-los no meio dos dados empíricos é a mesma que ele encontra para reconhecer qualquer sentido arquetípico nos fatos de uma vida cotidiana totalmente banalizada e coisificada. A dificuldade de ver está no sujeito não no objeto.

Os gêneros literários deitam suas raízes no absoluto, no infinito, no ritmo cósmico de que falou Massaud Moisés.

Notas


[1] Wellek, René e Warren, Austin, Teoria da Literatura, 2ª ed. Lisboa, Publicações Europa–América, 1971, p. 286.

[2] Moisés, Massaud, A Criação Literária, 5ª ed. São Paulo, Melhoramentos, 1973, p. 37.

[3] Staiger, Emil, Conceitos Fundamentais da Poética, Rio de Janeiro, Tempo Brasileiro, 1975, p. 165.

[4] Rosenfeld, Anatol, O Teatro Épico, São Paulo, Perspectiva, 1985, p. 18.

[5] Rosenfeld, op. cit., p. 23.

Bibliografia

Carvalho, Olavo de. Os Gêneros Literários: Seus Fundamentos Metafísicos.Rio de Janeiro: Instituto de Artes Liberais & Stella Caymmi, 1993.

Frye, Northrop. Anatomia da Crítica. Trad. P. E. da Silva Ramos. São Paulo: Cultrix, 1973.

Kayser, Wolfgang. Análise e Interpretação da Obra Literária. Coimbra: Arménio Amado, 1970.

Moisés, Massaud. A Criação Literária. São Paulo: Melhoramentos, 1973.

Rosenfeld, Anatol. O Teatro Épico. São Paulo: Perspectiva, 1965.

Staiger, Emil. Conceitos Fundamentais da Poética. Rio de Janeiro: Tempo Brasileiro, 1969.

Wellek, René, e Warren, Austin. Teoria da Literatura. Lisboa: Publicações Europa–América, 1972.

Deixe um comentário

Arquivado em Português/Redação

Quimica na China

 

Como disciplina científica, a química é uma matéria bastante recente; só no Ocidente, no século VII, é que a química científica se desenvolveu, e se passou um século para que ela atingisse a China. Ao longo do tempo, certamente, os chineses adquiriram uma enorme quantidade de conhecimentos de química prática, como o fizeram os povos de outras civilizações, e esse conhecimento não deve ser desprezado. Com suas técnicas e suas aplicações à medicina, ele formou uma base essencial sem a qual a ciência da química nunca se teria desenvolvido.
A química chinesa primitiva – ou talvez devêssemos chamá-la “protoquímica” ou até mesmo “alquimia”, embora tenha ultrapassado esse estágio – deu uma série de contribuições valiosas ao conhecimento básico daquilo que viria a ser a ciência química. Começou, como provavelmente em todos os outros lugares, como um desenvolvimento da arte de cozinhar, mostrando-se um estudo muito adequado aos daoístas; tinha um lado místico, pelo menos do modo como a praticavam e lhes permitia não só filosofar, como também usar as mãos A química nada mais é que uma ciência prática, de laboratório, e o trabalho prático que exigia significava que os daoístas podiam demonstrar claramente a diferença existente entre suas perspectivas e as dos confucionistas, que adotavam uma postura de superioridade em relação a todas as práticas artesanais. Mas havia mais do que isso. O principal objetivo dos daoístas era a busca da imortalidade física; procuravam meios pelos quais pudessem impedir o envelhecimento. Para conseguir isso, advogavam uma série de métodos, que incluíam ginásticas, exercícios respiratórios e o uso de remédios especiais, muitas vezes preparados com minérios. Dedicavam especial atenção ao modo como os corpos eram enterrados.
A imortalidade sempre lhes escapou, mas, na sua procura, reuniram muito conhecimento de química. Um aspecto disso revelou-se num trabalho arqueológico recentemente realizado na China. As escavações de um túmulo em Honan trouxeram à luz um sarcófago que, quando aberto, mostrou conter o corpo de uma mulher, a “senhora de Tai”. Embora ela tivesse morrido por volta de 186 a.C. – mais de 2 000 anos antes – o corpo parecia o de uma pessoa cuja morte tivesse ocorrido há apenas uma semana ou pouco mais; a carne, por exemplo, ainda se mostrava suficientemente elástica para retornar ao normal depois de pressionada. O corpo não estava, porém, embalsamado, mumificado, curtido, ou mesmo congelado; sua preservação se devia a um líquido de cor marrom, contendo sulfureto de mercúrio, mantido dentro de um sarcófago que estava, par sua vez, dentro de outro, fortemente selada com camadas de carvão e argila branca pegajosa. O ar nos sarcófagos era constituído principalmente de metano e estava sob alguma pressão. Assim, o sepultamento preservou o corpo no que hoje chamaríamos de condições anaeróbicas; ele estava hermeticamente fechado e impermeável à água, e a câmara mortuária garantiu que a temperatura se mantivesse razoavelmente constante a cerca de 13 graus. Há muitas lendas sobre daoístas que realmente conseguiram manter a integridade do corpo, e provas obtidas com a escavação de Honan tornam claro que nem todas são mitos; o conhecimento da preservação química se encontrava em um estado evidentemente adiantado, mesmo no século II a.C.
Ao praticarem sua mística alquimia, os daoístas estavam em sintonia com os protoquímicos de Alexandria, da Índia e, na verdade, de todas as civilizações em que se faziam tentativas não apenas de investigar a química das substâncias naturais, mas também de transformar metais ordinários e abundantes em ouro, que era não só mais raro, como muito mais bonito. A palavra “alquimia” certamente deriva do árabe, mas, o que é muito interessante, o próprio árabe derivou do chinês, e não do grego, do egípcio ou mesmo do hebraico, como se pensava anteriormente. Os daoístas, então, podem ter tido influências muito além de seus círculos imediatos; a atividade alquimista geral, que encontramos em toda parte – uma atividade que adotou uma visão “orgânica” de muitas substâncias, que concebeu experiências como cópias de sua gestação no útero da Terra -, pode ter devido algo a eles. Era certamente uma perspectiva que se adaptava bem à visão chinesa do universo como um organismo. Mas os daoístas também foram auxiliados por outros aspectos da filosofia chinesa; a teoria dos cinco elementos ajudou-os a classificar várias substâncias e a fazer experiências apropriadas com elas, enquanto a doutrina das duas forças os levou a uma idéia de fluxo e refluxo, a um sentido de mudança cíclica em que, assim que um processo atinge a seu ponto máximo, seu oposto deve começar a se afirmar.
Suas experiências levaram-nos a projetar uma variedade de aparelhos químicos especiais, que incluíam artigos como fornos e fornalhas especiais, assim como vasos nos quais as reações químicas podiam processar-se em condições de isolamento. Muitas vezes tais reações significavam o estabelecimento de altas pressões, e freqüentemente se usavam recipientes de metal resistente, muitas vezes envoltos em arames para evitar que toda a retorta viesse a explodir. E, embora os chineses nunca tenham inventado termômetros propriamente ditos, seus alquimistas e protoquímicos certamente sabiam da importância de algumas reações se realizarem sob certo calor; por isso, criaram banhos de água e outros estabilizadores de temperatura. Balanças romanas eram usadas para a pesagem e – o que era muito engenhoso – utilizavam-se de tubulações de bambu para ligar uma peça do aparelho a outra.
Talvez, porém, a peça mais significativa tenha sido o alambique. Derivava, basicamente do pote de cozimento neolítico, o li. Tinha três pernas ocas; mais tarde desenvolveu-se em um tipo especial de vaso duplo de vapor, o zeng (tseng), que tinha, com efeito, um segundo vaso montado sobre o primeiro, separado por uma grade perfurada. Para finalidades químicas, o segundo vaso era envolto por um recipiente com água para resfriamento, de tal forma que as substancias evaporadas se esfriavam e se condensavam em seguida; gotejavam, então, sendo coletadas em uma pequena xícara. Esse desenho, que foi usado por toda a Ásia Oriental, era diferente do tipo de alambique empregado em Alexandria; nesse caso, o material destilado era trazido para fora, por um tubo, para um vaso coletor; o resfriamento que devia ocorrer era conseguido apenas pelo ar que circulava em torno do tubo exterior. O desenho básico do alambique chinês é por nós empregado, hoje em dia, no moderno alambique molecular, usado para a extração de pequenas quantidades de compostos complexos, mas pode ter sido um aperfeiçoamento do tipo alexandrino ou helenístico. Este último data de algum tempo antes do ano 300 d.C., enquanto o chinês foi criado, provavelmente, no século IV d.C., embora possa ser anterior a essa época. O que não deixa dúvida, porém, é que a destilação era amplamente praticada na China do século VII, durante o período Tang. Além disso, o resfriamento imediato do material destilado, que o alambique chinês conseguia, era importante quimicamente; tal processo de resfriamento só se tornou disponível no Ocidente quatrocentos ou quinhentos anos mais tarde.
Uma das técnicas do alambique chinês utilizada pelos protoquímicos era a destilação do álcool; para isso, é imperativo um sistema de resfriamento, caso contrário o álcool se perde. Eles também praticavam um processo especial de congelamento; tratava-se de um método em que se congelava a água para deixar livre o álcool. Essa técnica, que não exige o alambique, produz uma forma de álcool muito concentrada, que os chineses parecem ter conhecido já no século II a.C.
Com o passar do tempo, os conhecimentos de química foram se acumulando. Alguns minerais eram preparados em formas apropriadas para uso medicinal – os sulfetos de arsênico eram um exemplo disso – o que representou uma grande antecipação em relação ao seu uso no Ocidente, onde os minerais não foram usados em tratamentos médicos antes do século XVI. Industrialmente, os chineses tornaram-se peritos na extração do cobre pela precipitação desse metal com soluções, e também usaram um tipo fraco de ácido nítrico para obter substâncias insolúveis com condições normais. Esse trabalho colocou-os em contato com o nitrato de potássio, ou salitre, que usaram em experiências em combinações com o carvão e o enxofre, substância que já era conhecida há muito tempo. As experiências podem ter sido feitas – e provavelmente o foram – com o propósito de obter um elixir que ajudasse a conseguir a imortalidade, mas, qualquer que tenha sido a finalidade inicial, levaram os chineses à descoberta da pólvora. Esta era usada em fogos de artifício e para fins militares, tendo sido empregada em combate pela primeira vez no século X, durante um período em que o país estava novamente dividido em facções guerreiras. Durante os duzentos anos seguintes, ela tomou parte, regularmente, em ações militares na China, mas não se tornou conhecida fora desse país até o século XIII, quando foi usada no mundo muçulmano; chegou à Europa no século XIV.
Então, que podemos dizer, em suma, da química chinesa? Em seus aspectos mais místicos e mágicos, abriu caminho para a descoberta de métodos sem paralelo para a preservação dos mortos e, em seus aspectos mais práticos, trouxe avanços industriais, militares e médicos. Cientificamente, os chineses também deram notáveis passas à frente, pois muito cedo compreenderam que as reações químicas podiam prover não só misturas como também substâncias totalmente novas, enquanto seus protoquímicos também desenvolveram tabelas de substâncias e o conhecimento do modo pelo qual reagiam, antecipando-se assim à idéia ocidental da afinidade química, que evoluiu no século XVII. Além disso, a química chinesa parece ter contribuído muito em matéria de pesar e medir as proporções das substâncias que tomavam parte nas reações e, assim, os chineses obtiveram alguma percepção daquilo que os químicos modernos chamariam de combinação de pesos e proporções, importante aspecto da pesquisa moderna. Além disso, sua preocupação com a precisão iria contribuir para o nascimento da química moderna.
in Ronan, C. História Ilustrada da Ciência pela Cambridge University. Rio de Janeiro: Zahar, 1986

Deixe um comentário

Arquivado em Química

Movimento Uniformente Variado(M.U.V.)

CARACTERÍSTICAS
a) aceleração escalar constante;
b) velocidade escalar variável uniformemente – Dizer que a velocidade varia de maneira uniforme no tempo é afirmar que ela varia em “quantidades” iguais em tempos iguais.
CLASSIFICAÇÃO DO MUV
a) Movimento acelerado uniformemente – O módulo da velocidade escalar aumenta ao longo do tempo. Velocidade e aceleração escalares têm sentidos e sinais iguais.
b) Movimento retardado uniformemente – O módulo da velocidade escalar diminui no decurso do tempo. Velocidade e aceleração escalares têm sentidos e sinais contrários.
EXPRESSÕES DO MUV
a) Função horária da velocidade: v = v0 + at
b) Função horária do espaço:
Image
c) Equação de Torricelli: v2 = v2o + 2aImageS (expressão do MUV que independe do tempo).
Aplicações
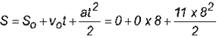
01. Num teste de desempenho, um carro consegue atingir a velocidade de 88m/s, em 8s. Sabendo-se que o movimento do carro é uniformemente acelerado, e que ele parte do repouso, qual a distância percorrida durante os 8s?
Solução:
A aceleração do carro é:
v = vo + at 88 = 0 + a . 8 a = 11m/s2
A distância percorrida:
Image
S= 352m
02. Um ônibus, deslocando-se a 20m/s, é desacelerado até o repouso com aceleração constante. O ônibus percorre 100m antes de parar. Calcule a aceleração do ônibus, em módulo.
Solução:
Quando, num MUV (aceleração constante), o tempo é omitido, use Torricelli:
v2 = v2o + 2aImageS
02 = 202 + 2a . 100 a = -2m/s2
Em módulo:
a = 2m/s2

Fonte:Colegio Web

Deixe um comentário

Arquivado em Física

Literatura Estrangeira-Resumo de MacBeth

Escrita num prodígio de economia, uma das peças mais curtas de Shakespeare, apoiado em relatos de guerras entre linhagens nobres da Inglaterra, Escócia e Irlanda, Macbeth é uma das tragédias mais sangrentas do autor, dos protagonistas só dois sobrevivem, é a tragédia por excelência da ambição humana.

A tragédia, passada na Escócia, conta a historia de Macbeth, um dos generais do rei Duncan, bem sucedido em sua luta com os rebeldes, recebe a visita de três bruxas, que predizem seu destino como futuro senhor de terras e rei da Inglaterra. Lady Macbeth, esposa do general, trama para a morte do rei para colocar seu esposo no lugar, Receoso, Macbeth hesita em tomar parte do plano de sua esposa, mas mata o rei com uma punhalada, durante o sono, com as mãos sujas de sangue, Macbeth reflete se fez certo ao tomar essa atitude.Após o assassinato do rei, Macbeth é coroado e vive momentos de gloria, porem, Macbeth teme Banquo, o outro general, que o rivaliza em astúcia e inteligência e para quem as bruxas predisseram que ele seria o futuro rei com sua linhagem, enquanto Macbeth não teria herdeiros reinando, para tanto, Macbeth então contrata dois assassinos para mata-lo, porem, o filho de Banquo, Fleance, escapa da morte. Macbeth começa a ser assombrado então pelo fantasma de Banquo, que o leva a ter acessos de loucura, começam então, por parte dos nobres, as intrigas para depor Macbeth.Em visita as bruxas, Macbeth recebe conselhos de aparições que prenunciam a intenção de Macduff tomar o trono e também a linhagem de Banquo.Malcolm, filho do antigo rei e Macduff, se encontram então na Inglaterra e pedem ajuda ao rei para depor Macbeth, para isso contam com Siward e mais dez mil homens, emprestados pelo rei da Inglaterra.Na Escócia, Lady Macbeth enlouquece e começa a limpar as mãos sem parar, para se livrar do sangue que a atormenta e começa dizer palavras desconexas.Aproxima-se a batalha e Macbeth, enlouquecido, procura dar sentido as palavras ditas pelas bruxas, Lady Macbeth morre em seu quarto, e o exercito inglês se aproxima com ramos de arvores na mão, confirmando a profecia que um dia o bosque viria ao castelo, findo o combate, Macbeth é morto e restam somente Malcolm, Ross, Macduff e outros soldados, coroando-se então Malcolm como novo rei.

 

Deixe um comentário

Arquivado em Literatura Estrangeira, Resumos/Resenhas

Trigonometria e aplicações

Introduzimos aqui alguns conceitos relacionados com a Trigonometria no triângulo retângulo, assunto comum na oitava série do Ensino Fundamental. Também dispomos de uma página mais aprofundada sobre o assunto tratado no âmbito do Ensino Médio.

A trigonometria possui uma infinidade de aplicações práticas. Desde a antiguidade já se usava da trigonometria para obter distâncias impossíveis de serem calculadas por métodos comuns.

Algumas aplicações da trigonometria são:

  • Determinação da altura de um certo prédio.

    Image

  • Os gregos determinaram a medida do raio de terra, por um processo muito simples.
  • Seria impossível se medir a distância da Terra à Lua, porém com a trigonometria se torna simples.
  • Um engenheiro precisa saber a largura de um rio para construir uma ponte, o trabalho dele é mais fácil quando ele usa dos recursos trigonométricos.
  • Um cartógrafo (desenhista de mapas) precisa saber a altura de uma montanha, o comprimento de um rio, etc. Sem a trigonometria ele demoraria anos para desenhar um mapa.

Tudo isto é possível calcular com o uso da trigonometria do triângulo retângulo.

Triângulo Retângulo

É um triângulo que possui um ângulo reto, isto é, um dos seus ângulos mede noventa graus, daí o nome triângulo retângulo. Como a soma das medidas dos ângulos internos de um triângulo é igual a 180°, então os outros dois ângulos medirão 90°.

Observação: Se a soma de dois ângulos mede 90°, estes ângulos são denominados complementares, portanto podemos dizer que o triângulo retângulo possui dois ângulos complementares.

Para ver mais detalhes sobre triângulos clique aqui.

Lados de um triângulo retângulo

Os lados de um triângulo retângulo recebem nomes especiais. Estes nomes são dados de acordo com a posição em relação ao ângulo reto. O lado oposto ao ângulo reto é a hipotenusa. Os lados que formam o ângulo reto (adjacentes a ele) são os catetos.

 

Termo Origem da palavra
Cateto Cathetós:
(perpendicular)
Hipotenusa Hypoteinusa:
Hypó(por baixo) + teino(eu estendo)

 

Para padronizar o estudo da Trigonometria, adotaremos as seguintes notações:

 

Letra Lado Triângulo Vértice = Ângulo Medida
a Hipotenusa Image A = Ângulo reto A=90°
b Cateto B = Ângulo agudo B<90°
c Cateto C = Ângulo agudo C<90°

 

Para ver mais detalhes sobre ângulos clique aqui.

Nomenclatura dos catetos

Os catetos recebem nomes especiais de acordo com a sua posição em relação ao ângulo sob análise. Se estivermos operando com o ângulo C, então o lado oposto, indicado por c, é o cateto oposto ao ângulo C e o lado adjacente ao ângulo C, indicado por b, é o cateto adjacente ao ângulo C.

 

Ângulo Lado oposto Lado adjacente Image
C c cateto oposto b cateto adjacente
B b cateto oposto c cateto adjacente

 

Um dos objetivos da trigonometria é mostrar a utilidade do conceitos matemáticos no nosso cotidiano. Iniciaremos estudando as propriedades geométricas e trigonométricas no triângulo retângulo. O estudo da trigonometria é extenso e minucioso.

Propriedades do triângulo retângulo

  1. Ângulos: Um triângulo retângulo possui um ângulo reto e dois ângulos agudos complementares.
  2. Lados: Um triângulo retângulo é formado por três lados, uma hipotenusa (lado maior) e outros dois lados que são os catetos.
  3. Altura: A altura de um triângulo é um segmento que tem uma extremidade num vértice e a outra extremidade no lado oposto ao vértice, sendo que este segmento é perpendicular ao lado oposto ao vértice. Existem 3 alturas no triângulo retângulo, sendo que duas delas são os catetos. A outra altura (ver gráfico acima) é obtida tomando a base como a hipotenusa, a altura relativa a este lado será o segmento AD, denotado por h e perpendicular à base.

    Image

A hipotenusa como base de um triângulo retângulo

Tomando informações da mesma figura acima, obtemos:

  1. o segmento AD, denotado por h, é a altura relativa à hipotenusa CB, indicada por a.
  2. o segmento BD, denotado por m, é a projeção ortogonal do cateto c sobre a hipotenusa CB, indicada por a.
  3. o segmento DC, denotado por n, é a projeção ortogonal do cateto b sobre a hipotenusa CB, indicada por a.

Projeções de segmentos

Introduziremos algumas idéias básicas sobre projeção. Já mostramos, no início deste trabalho, que a luz do Sol ao incidir sobre um prédio, determina uma sombra que é a projeção oblíqua do prédio sobre o solo.

Tomando alguns segmentos de reta e uma reta não coincidentes é possível obter as projeções destes segmentos sobre a reta.

Image

Nas quatro situações apresentadas, as projeções dos segmentos AB são indicadas por A’B’, sendo que no último caso A’=B’ é um ponto.

Projeções no triângulo retângulo

Agora iremos indicar as projeções dos catetos no triângulo retângulo.

Image

  1. m = projeção de c sobre a hipotenusa.
  2. n = projeção de b sobre a hipotenusa.
  3. a = m+n.
  4. h = média geométrica entre m e n. Para saber mais, clique sobre média geométrica.

Relações Métricas no triângulo retângulo

Para extrair algumas propriedades, faremos a decomposição do triângulo retângulo ABC em dois triângulos retângulos menores: ACD e ADB. Dessa forma, o ângulo A será decomposto na soma dos ângulos CÂD=B e DÂB=C.

Image

Observamos que os triângulos retângulos ABC, ADC e ADB são semelhantes.

Triângulo hipotenusa cateto maior cateto menor
ABC a b c
ADC b n h
ADB c h m

Assim:

a/b = b/n = c/h
a/c = b/h = c/m
b/c = n/h = h/m

logo:

a/c = c/m    equivale a    c² = a.m
a/b = b/n    equivale a    b² = a.n
a/c = b/h    equivale a    a.h = b.c
h/m = n/h    equivale a    h² = m.n

 

Existem também outras relações do triângulo inicial ABC. Como a=m+n, somando c² com b², obtemos:

c² + b² = a.m + a.n = a.(m+n) = a.a = a²

que resulta no Teorema de Pitágoras:

a² = b² + c²

A demonstração acima, é uma das várias demonstrações do Teorema de Pitágoras.

Funções trigonométricas básicas

As Funções trigonométricas básicas são relações entre as medidas dos lados do triângulo retângulo e seus ângulos. As três funções básicas mais importantes da trigonometria são: seno, cosseno e tangente. O ângulo é indicado pela letra x.

 

Função Notação Definição
seno sen(x) medida do cateto oposto a x


medida da hipotenusa

cosseno cos(x) medida do cateto adjacente a x


medida da hipotenusa

tangente tan(x) medida do cateto oposto a x


medida do cateto adjacente a x

 

Tomando um triângulo retângulo ABC, com hipotenusa H medindo 1 unidade, então o seno do ângulo sob análise é o seu cateto oposto CO e o cosseno do mesmo é o seu cateto adjacente CA. Portanto a tangente do ângulo analisado será a razão entre seno e cosseno desse ângulo.

 

sen(x)= CO


H

= CO


1

cos(x)= CA


H

= CA


1

tan(x)= CO


CA

= sen(x)


cos(x)

 

Relação fundamental: Para todo ângulo x (medido em radianos), vale a importante relação:

cos²(x) + sen²(x) = 1

 

Deixe um comentário

Arquivado em Matemática

FIGURAS DE LINGUAGEM: Hipérbole e Eufemismo

As figuras de linguagem são empregadas para valorizar o texto, tornando a linguagem mais expressiva. É um recurso lingüístico para expressar experiências comuns de formas diferentes, conferindo originalidade, emotividade ou poeticidade ao discurso.

As figuras revelam muito da sensibilidade de quem as produz, traduzindo particularidades estilísticas do autor.

 

Hipérbole

É um exagero intencional com a finalidade de tornar mais expressiva a idéia.

 

Leia a seguinte frase:

Quando lemos essa afirmação, nunca imaginamos jogadores agonizando de sede num campo Quando engrandecemos ou diminuímos exageradamente a verdade das coisas, estamos utilizando a hipérbole.

Veja os exemplos em textos escritos:

“Rios te correrão dos olhos, se chorares (…)” (Olavo Bilac)

“Brota esta lágrima e cai (…)
Mas é rio mais profundo
Sem começo e nem fim
Que atravessando por este mundo
Passa por dentro de mim”. (Cecília Meireles)

“Queria querer gritar setecentas mil vezes
Como são lindos, como são lindos os burgueses” (Caetano Veloso)

“Pela lente do amor
Vejo tudo crescer
Vejo a vida mil vezes melhor”. (Gilberto Gil)

Exemplo em textos falados:

“Já falei mil vezes com esse menino e ele não me obedece”.

“Vai passar um ônibus pro Inferno, mas não passa o do Novo Juazeiro”.

“Faz umas dez horas que essa menina penteia esse cabelo”.

“A roupa dela está tão curta que daqui a pouco ela está andando pelada na rua”.

“Já faz séculos que esse menino não toma banho, que, quando ele tirar essa roupa, ela vai sair correndo gritando: Me lava, por favor!”

Em suma, hipérbole é a figura de linguagem que consiste em expressar uma idéia com exagero.

Eufemismo

Leia a estrofe:

“Quando a Indesejada das gentes chegar
Encontrará lavrado o campo, a casa limpa,
A mesa posta,
Com cada coisa em seu lugar”.

Determinadas palavras e expressões, quando empregadas em certos contextos, são consideradas desagradáveis, ou por apresentarem uma idéia muito negativa ou por chocarem quem ouve. Por isso, é muito comum os falantes substituírem essas expressões por outras mais suaves, mais delicadas, que, mesmo tendo o mesmo sentido, causam menor impacto em quem as ouve.

Nesses versos, o poeta Manuel Bandeira refere-se à morte utilizando a expressão “Indesejada das gentes”. Existem varias expressões que suavizam a palavra morte, como “entregar a alma a Deus”, “partir desta para a melhor”, “bater as botas”, “encurtar os anos”, entre outras. Essas formas que atenuam expressões desagradáveis são chamadas eufemismos.

O eufemismo é exatamente oposta a hipérbole. Enquanto na hipérbole expressamos exageradamente uma idéia,a fim de enfatizar essa informação, no eufemismo suavizamos uma expressão chocante.Essa figura de linguagem é bastante comum não só nos textos escritos,como livros os poemas, como na comunicação oral.

Exemplos:

“…Para o porto de Lúcifer.” (Em vez de inferno) (Gil Vicente)

“Verdades que esqueceram de acontecer” (em lugar de mentira) (Mário Quintana)

Passar os cinco [dedos] — expressão popular (Em vez de roubar)

“Ele vivia de caridade pública” (em vez de “esmolas”) (Machado de Assis)

Leia estes versos do poema “Antologia”, de Manuel Bandeira:

Observe atentamente estas afirmações:

“E fizeste isto durante vinte e três anos (…) até que um dia deste o grande mergulho nas trevas (…)” (Machado de Assis)

“Diante de tanta tristeza, ela preferir faltar com a verdade”.

Na primeira sentença, Machado de Assis usou a expressão “deste o grande mergulho nas trevas” para se referir à morte; na segunda, a expressão “faltar com a verdade” foi uma maneira suave de se referir à mentira. Portanto, são exemplos de eufemismo, figura de linguagem que consiste em empregar expressões suaves no lugar de outra desagradável ou chocante.

Curiosidade: Durante muito tempo, as pessoas da raça negra eram qualificadas pelas formas eufemísticas “pessoas de cor” ou “morena”. Nas últimas décadas, entretanto, os movimentos negros brasileiros têm combatido essa forma de tratamento, entendendo que por trás do eufemismo, existe a idéia de que seria “feio” atribuir a característica “negra” a uma pessoa. Atualmente, os negros orgulham-se de ser considerados negros, pois, além da cor, essa característica identifica a cultura e a raça a que estão ligados.

Fonte: Infoescola

 

 

Deixe um comentário

Arquivado em Português/Redação

Médio e Novo Império-EGITO

Médio Império

Image Nos séculos finais do Antigo Império, o Egito sofreu com várias adversidades que prejudicaram diretamente a
manutenção de um governo controlado sob a autoridade do faraó. A diminuição do ciclo de cheias do Rio Nilo, a
consequente disseminação de doenças e a falta de mantimentos no interior daquela sociedade estabeleceram o
acirramento de várias tensões. A população passou a se rebelar contra o próprio Estado e os nomarcas apoiaram a volta de um sistema político descentralizado.
Entre os anos de 2300 e 2000 a.C. a ruína econômica e as contendas internas possibilitaram a invasão de povos
provenientes da Ásia que se estabeleceram no Delta do Rio Nilo, região norte do Egito. Somente nas últimas décadas do
século XXI a.C., os egípcios reassumiram o total controle do território graças à atuação militar do faraó Mentuhotep II,
que também teve que enfrentar a resistência dos nomarcas ao projeto de ressurgimento do Estado centralizado.
Com o retorno do faraó, o sistema de servidão coletiva voltou mais uma vez a vigorar e, dessa forma, permitiu a
construção de grandes canais de irrigação e o surgimento de outros pontos de exploração agrícola. Para garantir
estabilidade, o Estado passou a aceitar o ingresso de membros de camadas sociais inferiores na formação de um
poderoso exército. Não por acaso, os egípcios conquistaram nesse período as regiões da Núbia e da Palestina, onde
encontraram grandes minas de ouro e cobre.
Ao longo dos anos, a prosperidade material alcançada ao longo do Médio Império fez com que as diferenças sociais 1º EMT
fossem cada vez mais agudas. A formação de uma restrita classe de privilegiados motivou várias comunidades
camponesas a seguir os ditames formulados pelo poder central. Mais uma vez, os nobres passaram a reivindicar maior
autonomia política e as contendas fragilizaram o opulento governo centralizado nas mãos do faraó.
Por volta de 1800 e 1700 a.C., algumas tribos hebraicas adentraram o território egípcio em busca de melhores condições
de vida. Na época, o severo clima árido da região palestina motivou o deslocamento da civilização hebraica para o
interior do Egito. Contudo, o evento que desestabilizou o governo egípcio foi a invasão militar estabelecida pelos hicsos,
povo asiático que contava com uma tecnologia de guerra que preservou sua dominação no delta do Nilo entre os anos de 1750 e 1580 a.C..

Novo Império

ImageO estabelecimento do Novo Império teve início com o processo de união da população egípcia contra a dominação exercida pelos hicsos em seus territórios. Com o apoio de Amósis I, uma grande revolta contra a presença estrangeira conseguiu finalmente desencadear as lutas que deram fim à hegemonia dos hicsos. A grande mobilização gerada por esse episódio fortaleceu o exército egípcio e propagou ações militaristas que ampliaram as fronteiras do império.

Segundo apontado por recentes pesquisas, foi nessa mesma época que os hebreus haviam se instalado no Egito, aproximadamente no século XIII a.C.. Com relação a este fato, devemos assinalar que, após a saída dos hicsos, o governo egípcio converteu a população hebraica à condição de escravos. Mediante tal mudança, os hebreus deram início ao seu processo de retirada do território egípcio, feito que contou com a liderança político-religiosa de Moisés.

Entre as mais importantes conquistas territoriais realizadas nessa época, destacamos o controle sobre as regiões da Mesopotâmia e das proximidades do Sudão. O controle sobre uma ampla porção de terras também fomentou a formação de atividades comerciais mais intensas, que incluía a importação de madeira da Fenícia, de metais preciosos vindos da Núbia e da resina proveniente da Grécia e outras regiões do mundo Oriental. De fato, esse foi um período de expressiva prosperidade econômica.

O visível fortalecimento do poder monárquico abriu portas para a constituição de uma reforma religiosa que foi imposta pelo faraó Amenófis IV. Buscando limitar a influência exercida pelos sacerdotes, este governante aboliu o culto politeísta no Egito e passou a reconhecer somente o culto ao deus Aton. Com tal mudança, pôde fechar vários templos dedicados a outras divindades e confiscar os bens administrados por grande parte da classe sacerdotal.

A mudança provocada por Amenófis IV não perdurou no interior da sociedade egípcia. Tutancâmon, filho de Amenófis, assim que chegou ao poder tratou de restabelecer as antigas tradições religiosas politeístas com a recuperação dos templos que haviam sido abandonados. Chegado o governo de Ramsés II (1292 – 1225 a.C.), os egípcios tiveram que enfrentar a cobiça de outros povos estrangeiros. Nesse período, as forças militares do Egito se encarregaram de expulsar os hititas do Vale do Rio Nilo.

No final do Novo Império, as disputas políticas entre os faraós e os sacerdotes foram responsáveis pelo enfraquecimento político da nação. Por volta de 1100 a.C., o império egípcio foi novamente dividido em Alto e Baixo Egito. A dissolução acabou permitindo que os assírios avançassem sob o território. Em 662 a.C., o rei Assurbanipal conseguiu subjugar o politicamente combalido governo egípcio. Daí em diante, outras civilizações dominaram o Egito.

Fonte:Brasil  Escola

Deixe um comentário

Arquivado em História