Devpost
Participate in our public hackathons
Devpost for Teams
Access your company's private hackathons
Grow your developer ecosystem and promote your platform
Drive innovation, collaboration, and retention within your organization
By use case
Blog
Insights into hackathon planning and participation
Customer stories
Inspiration from peers and other industry leaders
Planning guides
Best practices for planning online and in-person hackathons
Webinars & events
Upcoming events and on-demand recordings
Help desk
Common questions and support documentation
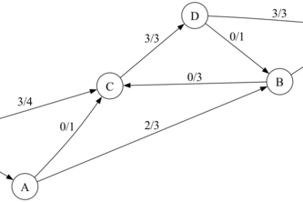
Determine the max flow through various types of capacitated networks.
Simulating viral transmission under vaccination and quarantine.
UClass is a socially oriented productivity app for UMass students. Upload your schedule from spire using our chrome extension and then UClass will show you when, where, and who is in your classes.
Ever needed a reminder to do something good for the environment? This app will remind you to pick up trash in exchange for the well being of a plant.